PMCA Sunday 12:00 Java Homework 20.05.31.
05 Jun PMCA Sunday 12:00 Java Homework 20.05.31.
Question:
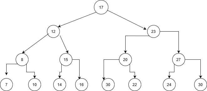
Write the code to validate a binary tree. Print True if the tree is a true binary tree otherwise print False.
Sample Input 1:

Sample Output 1:
True
Sample Input 2:
Sample Output 2:
False
Sorry, the comment form is closed at this time.